作者:张蕴晖 发布时间:2022-07-22 21:28:20 来源:复旦大学公共卫生学院+收藏本文
学者简介

张蕴晖
复旦大学公共卫生学院环境卫生学教授,博士生导师。研究方向:新污染物的人群健康风险;儿童环境健康。
大气细颗粒物(PM2.5)的健康危害受到广泛关注。已有一些动物实验和流行病学研究发现,孕期PM2.5暴露会损伤子代神经发育。PM2.5作为一种成分复杂的混合物,其神经发育毒性主要取决于颗粒物荷载的化学组分。因此,识别和鉴定PM2.5神经发育毒性效应的关键化学组分对保护儿童健康和大气污染防控政策的制定具有重要意义。此外,PM2.5神经发育毒性的胎盘介导机制尚不明确。

复旦大学公共卫生学院张蕴晖教授团队近日在Science of the Total Environment杂志在线发表了题为“Prenatal fine particulate matter exposure associated with placental small extracellular vesicle derived microRNA and child neurodevelopmental delays”的论文,着重探讨了产前PM2.5及组分暴露对儿童神经发育的影响,并探究了胎盘小细胞外囊泡(small extracellular vesicles,sEVs)来源的miRNA在其中的潜在作用。
对象与方法
基于上海亲子队列(Shanghai Maternal-Child Pairs Cohort,Shanghai MCPC),本研究共纳入267对母子。每位孕妇佩戴PM2.5个体采样仪(SKC 220-5000TC AirChek TOUCH,美国SKC公司),在孕16、22、32周开展3次PM2.5个体监测和采样。分别采用热光分析方法(thermal/optical carbon analysis)、能量色散X射线荧光光谱法(ED-XRF)、离子色谱法(IC)和热脱附-气相色谱-质谱联用法(TD-GC/MS)对采样滤膜中的无机和有机碳组分、29种元素组分、12种水溶性离子和20种多环芳烃(PAHs)的含量进行测定。分娩时收集胎盘组织,应用酶消化联合滤过超速离心的方法分离胎盘组织sEVs,提取sEVs来源的miRNA进行高通量测序和生物信息学分析,以筛选与PM2.5暴露相关的差异表达miRNA,并对其进行qPCR检测验证。采用《年龄与发育进程问卷》(ASQ®-3)评估婴幼儿在2、6、12和24月龄时的各能区(沟通、粗大动作、精细动作、解决问题和个人-社会)发育水平。采用线性回归模型分析孕妇产前PM2.5及组分个体暴露水平与婴幼儿各能区发育水平和sEVs来源的miRNA表达量之间的关系。
主要结果
产前细颗粒物暴露显著降低婴幼儿ASQ评分。孕中期PM2.5个体暴露水平每增加10μg·m-3,2月龄婴儿的ASQ总评分和沟通能区评分分别降低4.140(95% CI:-7.655,-0.625)和1.514(95%CI:-2.586,-0.442),6月龄婴儿解决问题能区得分降低0.986(95%CI:-1.889,-0.083)。孕晚期PM2.5个体暴露水平每增加10μg·m-3,6月龄婴儿ASQ总评分、解决问题和个人-社会能区评分分别降低3.944(95%CI:-7.677,-0.210)、1.091(95%CI:-2.059,-0.124)和1.045(95%CI:-2.027,-0.063)(图1)。
▼图1 不同孕期PM2.5个体暴露对婴幼儿各能区发育的影响

来源:Science of the Total Environment
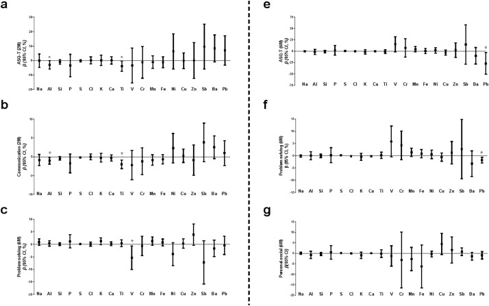
进一步对组分分析发现,孕中期PM2.5中Al和Ti组分暴露与2月龄婴儿ASQ总评分和沟通能区评分降低有关(图2a&2b);V组分暴露与6月龄婴儿解决问题能区得分降低有关(图2c)。孕中期PM2.5中Pb组分暴露与6月龄婴儿ASQ总评分和解决问题能区评分降低有关(图2e & 2f)。
▼图2 孕中期和孕晚期PM2.5组分暴露对婴幼儿各能区发育的影响

【注】 孕中期组分暴露:图2a、2b、2c;孕晚期组分暴露:图2e、2f、2g。
来源:Science of the Total Environment
研究筛选并分析了sEVs中与PM2.5暴露相关的miRNA(图3)。通过对胎盘sEVs中miRNA进行高通量测序和生物信息学分析,筛选到8个表达上调的miRNA(hsa-miR-320b、hsa-let-7b-5p、hsa-miR-183-5p、hsa-let-7a-5p、hsa-let-7e-5p、hsa-miR-320a、hsa-let-7c-5p、and hsa-miR-543)和7个表达下调的miRNA(hsa-miR-520d-5p、hsa-miR-590-3p、hsa-miR-502-3p、hsa-miR-101-3p、hsa-miR-769-5p、hsa-miR-365b-3p、and hsa-miR-339-5p)。GO和KEGG功能富集分析结果表明,筛选得到的15个sEVs来源的miRNA主要参与调控与神经发育、生长发育、发育编程、机体免疫反应、代谢疾病等生物学过程或通路(图4)。
▼图3 胎盘sEVs来源miRNA研究流程图

来源:Science of the Total Environment
▼图4 功能富集分析

来源:Science of the Total Environment
qPCR验证结果表明,miR-320a-3p表达水平既与孕期PM2.5及组分个体暴露有关,又与6月龄婴儿ASQ总分和解决问题能区评分显著相关(图5),提示孕期PM2.5暴露可能通过干扰胎盘sEVs中miRNA表达影响子代神经发育。
▼图5 胎盘sEVs中miRNA表达水平与婴幼儿神经发育之间的关系

来源:Science of the Total Environment
研究结论及意义
本研究表明,产前PM2.5及其Al、Ti、V和Pb组分暴露负向影响婴幼儿神经发育;孕期PM2.5及关键组分暴露可能通过干扰胎盘sEVs中miRNA表达影响婴幼儿神经发育。基于PM2.5个体监测,本研究较为全面地评估了产前PM2.5及化学组分对婴幼儿神经发育的影响,为识别和鉴定PM2.5神经发育毒性效应的关键组分提供了数据支持。此外,本研究首次从胎盘sEVs来源miRNA角度,探究了产前PM2.5及其组分暴露影响子代神经发育的生物机制,为PM2.5的神经发育毒性机制研究提供了新的方向和思路。
复旦大学公共卫生学院博士后王彭彭为该论文第一作者,张蕴晖教授和复旦大学附属闵行医院马文娟博士为该论文共同通讯作者。该研究得到了上海市第五轮公共卫生体系建设三年行动计划重点学科项目(GWV-10.1-XK08)、国家自然科学基金面上项目(81872581、81172684)和国家重点研发计划“政府间国际科技创新合作重点专项”(2019YFE0114500)的资助。
参考文献:
Wang P, Zhou Y, Zhao Y, Zhao W, et al.Prenatal fine particulate matter exposure associated with placental small extracellular vesicle derived microRNA and child neurodevelopmental delays[J].Sci Total Environ. 2022 Jun 15:156747. doi: 10.1016/j.scitotenv.2022.156747.