作者:潘霁 发布时间:2025-02-28 来源:《学术月刊》2025年第1期+收藏本文
摘要:媒介居中运作,驱动虚实交融,构成多姿多彩的人类文明。新兴的数字移动媒介如何改变虚实空间交转杂糅,催动场景意义生成的“框架”变化?研究发现前数字时代“表征”范式的虚实交转发生在不同次元和方向上,形成了“显著度结构”“阈值空间体验”和“拟剧论架构”等主流的框架概念和分析方法。位置媒介、移动虚仿和空间计算等新技术强化了虚实“共在”的新范式。混杂现实按虚实共在的构成比例,包括从“置入”到“折叠”复杂连续的层次变化。据此,提出的“路径框架”概念,将数字媒介驱动虚实间折叠置入反复发生的路径作为场景意义构建的元结构。表征范式的三类框架成为“路径框架”运行中征用的内容资源。数字系统驱动阈值空间框架,拟剧论框架和显著度结构框架之间发生复杂连续的交转。虚实勾连错落多孔,疏密渐变,创造丰富有趣的都市生活。更为人工智能参与现实意义建构,实现智能技术的沟通潜能创造条件。
目次
一、拟剧论和阈值空间:三维虚实交转
二、显著度框架:大众媒介“压平”式虚实交转
三、折叠与置入:数字媒介驱动虚实共在式杂糅
四、理论提炼:框架理论的脉络
五、路径框架:概念与方法创新
虚拟(virtual)与实在(actual)区分转化,催生出多重现实。媒介系统居间运作,设定了虚实空间交接转换的动态,推动现实的转型。按德布雷的话说,媒介“将观念转化为实际的力量,把一个话语变作一个事件,使精神获得实体”。位置媒介、移动虚仿和空间计算等新兴的移动数字媒介改变了虚实交转的底层逻辑,创造出大量新的空间场景。“框架”是获取新场景意义时最为常用的理论工具。框架分析回答了“正发生什么”等为个人空间行为和认知定向的根本问题。不同框架预设不同的空间构成和经验形态。新媒介生成新的空间杂糅。随之亟需更新“框架”概念的内涵和研究方法,推动数字城市创生沟通性更强的空间场景意义。
但目前多数的讨论仍旧默认虚实间泾渭分明。物理和虚拟场景的意义建构在各自领域,循不同语法独立展开,并在与其他同为物理或虚拟场景的关联中发挥作用。鲜有从数字移动媒介具体的空间化运行切入,基于虚实空间交转方式历时性变迁,探究数字场景意义生产的“框架”重置。从媒介切入有利于揭示虚实空间转换杂糅和框架重置过程在数字时代复杂的变化。由此,本文在框架研究现有理论和方法基础上提出“路径框架”概念,旨在帮助人们从理念和操作方法上更好把握人工智能融入混杂空间,与人共作,参与创造场景意义的全新过程。
理解场景意义生成的新“框架”对智能文明尤为重要。能否辨识场景意义常被用于区分人类与非人智能。人类有身体感受,经历社会化过程,故能解码社会场景的文化涵义。长期的社会互动产生了躯体感知隐形知识,社会关系隐形知识和集体生活隐形知识,构成智能时代“人类剩余的独特性”。人工智能的运作则受到各种数据流、感应器和算法算力的支持。智能系统多大程度上准确无误地辨识场景“微妙多变”的社会意义,做出反应,并获得对文化语境的“类人敏感性”,决定了其理解语言,融入社会,获得人类信任的可能。要求技术具备“类人敏感性”预设了记忆和体验是建构空间意义的前提。但移动数字媒介生成的混杂空间正在融入越来越多元的意义类型。数字媒介留存记忆,代理行为,拓展感官的能力,又为意义建构创造出更多可能。人工智能能否以自身特有姿态卷入空间意义生产,成为充分实现其沟通潜能的关键。
据此,本文首先讨论前数字时代,建筑、艺术和大众媒介驱动虚实转换形式的变迁。分析指出“表征”范式的虚实交转发生在不同的次元和方向上,已经形成“显著度结构”“阈值空间体验”和“拟剧论架构”等当下主流的框架概念和分析方法。随后基于位置媒介、移动虚仿和空间计算等新媒介的空间化运作,探讨虚实杂糅条件的变化。分析指出新媒介在表征范式外,恢复了虚拟三维的空间性,创造虚实元素“共同在场”的新范式。按共在比例设定,虚实空间的交转涵盖了从“置入”到“折叠”更复杂连续的层次变化。最后,从媒介空间入手梳理提炼框架概念的发展脉络,进而提出“路径框架”概念。概念将数字媒介驱动虚实空间折叠和置入过程中,反复发生的“导航”线路作为建构场景意义的元结构。表征范式的三类框架遂成为“路径框架”在运行中征用的内容资源。数字媒介驱动阈值空间框架,拟剧论框架和显著度结构框架之间发生多个层次,多点互渗的关联。虚实空间错落多孔,疏密渐变的勾连创生意义丰盈,生活有趣的数字城市,更为人工智能以不同模态参与意义建构,实现技术的空间沟通潜能开辟条件。
一、拟剧论和阈值空间:三维虚实交转
文明发轫于虚实区分。“虚”缥缈无稽,却是“实”获取意义、积淀象征、实现超越的基础。中国的创世故事描绘过盘古以身为媒,区分虚实的过程:“(盘古以齿化斧)开天辟地,打破混沌,阳清为天,阴浊为地,盘古处其中,一日九变”。巨人牙齿化为巨斧,挥舞中口舌与双手配合,创造天地区分。巨人身躯感官全部处于虚实之间,随天高地厚三维转化,成为维持区分、创造世界的中介。传说中高达九万里的“身躯”支撑起同样巨大的“天空之镜”以表征“天下”的总体秩序和意义。对总体意义的表征构成所谓“媒介欺骗性”的原型。
盘古身体化作万物,世间再无巨人。凡人以小小身躯感官为尺度,勾连物质环境,个人体验和意义生产,形成个人现实。三维的虚实经个人身体感官和语言文字的斡旋,反复发生双向转化。由此构成的现实意义归于个人,彼此独立,互不相同。盘古“天空之镜”表征的总体意义碎作无数镜片,从不同位置折射三千小世界。人类既无天使心灵感应的神通,人与人完全的理解便无从实现。个体建构环境意义的“框架”于是成了只能依据外在线索蛛丝马迹来揣度的“黑箱”。即便是个人意义结构的部分敞开,都需要学者以人类学田野方法,长期观察访谈,用自身身体感受和文化积累作为“感同身受,设身处地”的测量工具来深入体验。
所幸个人头脑中的“心猿意马”总还能经媒介实现有限的外化表达。人与人之间能借助口舌鼓动和双手所及之“附近”,循约定俗成的规范,将现实感知和意义结构表达出来。皮肤边界下的心意经中介外化为物理空间的行为表演后,他人方可卷入其中,人际才能交汇。个人小天地之间彼此反复碰撞接触。个体意义“黑箱”间的绝对差异虽然仍不可消解,但人与人之间逐渐达成了惯常的连接贯通。感知外化,加上人际交往的惯常化和典型化创造出镶嵌在具体历史中的客观意义系统。促成个体间连通的实践模式,叙事结构和表演脚本,尤其运行其中的语言与器物系统(如礼乐祭器、衣物服饰、职业用具和象征标识等)构成支撑本地社会场景意义共通的“微观结构”。个体间可沟通的意义结构产生于身体共同在场时,交往实践和言语对话在虚拟意义域和物理空间之间反复强化的勾连。戈夫曼拟剧论框架的概念即由此展开。戈夫曼拟剧论“框架”作为界定场景意义的微观结构,源自本地文化的象征积淀(symbolic stockpile)。但“框架”的构建取决于本地物理空间(舞台道具)和文化象征积淀之间,如何经反复出现的典型化表现(角色扮演)和人际交往中惯常的话语结构(脚本)发生连接转换。“(戏)剧”本就是虚实交融,意义传承,强化秩序的原型机制。角色扮演构成连接虚实的集体实践。脚本则体现特定文化中虚实转换的一般机制。与之相应的框架分析法要求研究者浸润于具体的文化环境中,对惯常发生的言语对话和交流行为敏感地观察、理解和反思。尤其关注虚拟的意义结构如何经媒介运作在物理空间实现外化,物理空间又如何转变和再造言语实践和意义感知。前者构成框架建构理论,后者是框架效果论。框架研究常将两者处理为不同的领域:前者归文本话语分析,后者偏心理效果的测量。但唯有两个分支交叉融通,才能显露出实体空间与意义空间的交接转换如何创造不同的框架。意义结构与实体空间的连接条件一旦变化,就催生出包括框架竞争、框架修补、框架嵌入和框架桥接等架构动态(framing dynamics)。
随语言和其他媒介技术加速进化,外在于个人的意义结构获得越来越强的沟通能量。虚实转换也随之呈现更不对称的状况。大众媒介出现前,庞大的社会、政治、文化、宗教或商业机构就开始系统地利用建筑、交通、雕塑、绘画、音乐、灯光、戏剧或印刷书写等技艺来打破个人的感官限度,创造更大范围的总体秩序和意义。整体意义作为人为建构的象征天穹(symbolic canopy)整合控制个体意义间的差异,并在与物理空间的交融中得以现身。商品琳琅满目的拱廊街,崇高神圣的教堂庙宇,庄严肃穆的宫殿朝堂,光影令人迷醉的环形剧场,行人摩肩接踵高谈阔论的城市中心广场和供万民仰望的纪念碑,以不同方式在物理空间“召唤”尺度巨大的虚拟“反”现实。与个体“角色扮演”交织形成的意义不同,虚拟现实嵌入同样立体的物理空间,将千万凡人的身体感知全面卷入。个人调用身体全部感官和情感,体验整体意义实体“显形”带来的剧烈冲击,并在行为感知上逐渐与之“同步对齐”。个人意义系统“黑箱”间的边界被更大的虚实交融击穿。与此相应,阈值空间体验框架指向城市特定物理空间中,建筑、艺术,交通和社会的具体设置状况给“栖居者”带来的集体空间体验和意义感知。其中包括与他人共同在场的身体感受;被当时场景唤醒的集体记忆;集体情感的扩散迸发;广泛共享的文化意义结构。尤其是上述因素与群体所处物理空间的技术和物质条件产生的交互。阈值空间框架在分析方法上要求身处阈限空间之中。研究者结合本地媒介技术、社会经济、历史记忆、情感表达和文化传承的具体状况,挖掘并澄清特定集体在特定时间共通的空间体验,阐明阈值空间经虚实转换创造的意义架构。
二、显著度框架:大众媒介“压平”式虚实交转
大众媒介和高速交通网络加剧了虚实转换的不对称。全球数字电讯网络在个人栖身的虚拟环境间创造更大范围的同频共振。共振不仅表现为个人现实的意义和秩序趋近,更同步了个人感知世界和采取行动的节奏,速度或长度等时间参数。虚拟空间大范围的共振引发个体认知和物理空间相应变化。高速交通网络加快了人和物的全球流动,促进不同实体空间的社会构成和物质形态不断趋近。从虚实交转的时间性看,物质和社会构成的变化通常较虚拟空间的实时共振迟缓。快慢交错,既全球共通又保留本地差异的虚实交转就此成为可能。譬如,戴扬和卡茨曾提出人类登月、肯尼迪遇刺和戴安娜婚礼等大众媒介时代标志性的“媒介事件”是借助卫星通信和广电技术,依靠全球新闻机构在世界范围重新拼装“天空之镜”的尝试。个人借大众媒介延展视听,作为转换虚实的中介,瞬间卷入与全球“虚拟空间”的交互。同时每个人又身处独特的社会文化和经济物质环境,对全球化图像信息作本地化解读。千家万户屏幕上实时“撒播”的图像文字加强了个体的全球意识,映射并更新着全球社会新的总体秩序和广泛共享的意义结构。数字时代表征总体意义的方式呈现新的变化。《连线》杂志将新一代AR技术平台称为“世界之镜”,并表示(数字虚拟的)镜中世界很快即将降临。头戴设备为个人带来虚拟世界大量的碎片。这些碎片很快会被新技术“缝合”,形成稳定共享且与物理现实平行的孪生世界。
大众媒介“缝合”天空之镜的过程还与人们用“压平”(flattening)技艺改变虚实转换有关。造纸书写和印刷出版消灭了三维物理世界“背后”隐藏的维度。物理世界被“压平”后转虚,呈现为一览无余的二维纸面。电视(影)更是借透视法将三维实体转换到二维的大小屏幕。个人要降维为数字头像或将身体位置和健康情况抽象为数据才能映射到屏幕,创造新的意义,支持新的行为。个人作为视觉认知主体置身于二维虚拟空间之外,阅读“解码”图像符号客体的文化含义。媒介“压平”的运作将三维物理世界向人类凝视全面敞开,并为人创设了“客观主体”的观察点位。虚实转换过程中,丰富的身体感官和情绪反应被留在三维空间,疏离冷静的视觉认知成为进入虚拟空间的主路径。媒介“压平”式的虚实交转强化了人与环境关系中,线性理性和逻辑分析所起的作用。人类由此获得对经验现实更强的观察分析和意义生产能力。现代知识的生产流动大多利用印刷书写和大小屏幕,在二维三维虚实间反复的穿梭中展开。纸面与屏幕成为文明记忆留存的主要样式。由文本和屏幕图像构成的二维虚拟更成为生产和储存社会知识的“崇高之地”,为三维世界提供了大量组织场景秩序,生产空间意义的通用“框架”范本。虚实交转中产生的意义集中体现在出版发行的纸面或接收模拟或数字信号的屏幕上。各色平面经电信和交通系统传输,反复强化意义结构中公分母最大的“范本”。与之相应,大众媒介场景意义界定的框架自然也须往纸面文本或屏幕图像去寻。二维平面的符号图像在虚实间不断循环流转,催生出更大时空范围内互联互通的意义架构。与之相应的框架分析方法就常采用内容分析或大数据分析等科学方法,系统观察并客观抓取二维平面上图像符号在日常流动中最频繁出现的显著度结构。抓取之后是命名步骤。文本图像的显著度结构客观存在,经过分析者为之主观命名,才能获得可辨识解读的文化意涵。
本地人际交往交织形成的拟剧论框架,召唤整体意义现身的阈值空间框架和屏幕纸面上图像文本的显著度结构框架是框架研究领域目前主流的概念和方法。三类场景意义生产的方式分别预设了不同媒介驱动虚实交转的不同形态。三种状况下,“虚”都表征了尺度不一的意义价值和秩序,代表着更加崇高稳定的“应然”。而“实”则指向无常多变,更为真实,但也趋向混乱的物理空间。在真假之辨上,“实”往往占据“真”的首要地位。“虚”处于次要地位,指向并召唤在前者中缺席的意义与秩序。
三、折叠与置入:数字媒介驱动虚实共在式杂糅
数字媒介为虚实间从表征关系升级到更为包容灵活的“共在”式杂糅创造了条件。与大众媒介限于二维平面的信息传输不同,数字系统连通了微缩的具身移动装置和大型数字基础设施。系统涵盖智能交通,无线网络,感应器网络,移动虚仿,GPS,脑机接口,健康管理,二维码界面和大型公共艺术装置等子系统。从关系性非表征的媒介研究进路,Moores提出媒介不再只是在物理空间留下信息印记的工具,更是地方营造中最核心的关系性过程和实践。换而言之,“虚”不仅表征“实”中缺席的意义和秩序。数字系统运作与用户实践结合,将虚拟和物理空间(元素)作为彼此独立,共同在场的现实资源,有选择地“拼装”成有意义的杂糅空间。虚拟与物理作为地位平等的构成,按不同比例共同在场,在连续对称的转换中创生出复杂多变的场景意义。
其中,数字移动媒介创造“全息多孔折叠”(holographic porous enfolding)的虚实空间交转方式。基于稳定的无线网络连接和无处不在的弥散算力,移动媒介能随时以全息或二维虚拟空间(声音、图像、触觉或社会交往)折叠包裹用户的五感或运动肌感。相比早先的随身听或口袋图书,全息“折叠”的虚拟空间卷入更多感官和运动感知,产生更强真实感,形成与物理空间更彻底沉浸的“隔断”。数字系统将个人空间感受和社会交往完整地从物理空间转移到三维立体的虚拟空间,替代(displace)或部分过滤了物理空间的状况。可计算的数字气泡就此产生。同时,数字媒介将物理空间体验与虚拟体验更紧密地并置耦合。虚实平等共在,共构现实。虚拟空间对感官的“折叠”方式限定了用户身处物理空间的行动可能。比如个人将感官彻底投入三维数字空间,前提就是预计能完全把控物理空间中同时发生的变化。当移动虚仿系统或三维数字游戏在执行全息感官折叠时,就要求用户在城市公共空间中身处公共交通车厢之类能稳定把控,可精确预测的移动环境。反之可能造成虚实间破坏性互渗,甚至产生空间坍塌的风险。而用户在物理空间的感知行动也同样设定其在虚拟空间的行动可能。如移动虚仿环境中虚实同时在场,对感官的分割占领构成多孔叠加的(porous overlay)关系。移动虚仿系统在用户触觉、嗅觉、味觉和肌肉动感保留在物理空间情况下,用三维虚拟空间折叠其视听或触觉感官。来自物理空间的气味、声音、口感、触觉和运动感受能影响人在虚拟空间的视听实践。虚仿系统内置的全球定位模块还能将用户在物理空间的“移步”与其在赛博空间的“换景”关联耦合。因此“全息多孔折叠”的虚实交转常需要依据城市公共空间移动性既有的不同状况,做出调整和优化。

“折叠”之外,数字媒介还催生虚实空间的“双向元素置入”(two-way emplacement of elements)。数字装置选择虚拟空间中的图像、声音、运动和社会交流过程,将其以本来形态直接导入物理空间,创造新的混杂。其中,二维虚拟元素可仍以二维形式被置入物理空间中建筑墙面门窗等平面结构。比如公共空间建筑外墙面的灯光投影艺术。虚拟中按透视法形成的三维内容则通过三维打印或Vision Pro等技术运作,获得真正的“身体”后被导入物理空间。从屏幕穿越到物理环境,突然“现身”的数码元素成为既非物理又非虚拟的“诡异物”。置入虚拟元素增强了用户的物理空间体验。当被置入的虚拟元素是关于本地物理空间的额外数据时,置入可赋予实体空间新的地方感,成为“增强现实”。比如,苹果手机系统的Streetmuseum软件可将城市空间数字化的历史档案内容,直接“放置”到当下的物理空间,创造出新的场景意义。被置入城市公共空间当下的历史文本、陈年旧事、物件投影或故人的音容笑貌既是本地数据,又作为虚拟区别于当下的物理空间。随着越来越多数字元素被置入并与物理空间并置,后者不再完全决定场景的文化意义。实体空间与被导出的虚拟元素共同构成了新的场景,催生新的行为实践。最典型例子是数字游戏玩家利用智能手机定位系统和摄像头,将虚拟对象直接“放置”到城市公共空间。其他玩家用移动装置作“指南针”在实体空间身体移动过程中,寻找定位被其他玩家置入的虚拟元素。该技术的应用包括了Pokemon Go,Botfighters和Mogi等一系列混杂空间游戏。
在另一方向上,大量物理空间元素经技术中介也被“置入”虚拟空间。马诺维奇指出数字媒介从物理环境萃取各类数据,不断导入以改变数字空间的构成。马诺维奇以早期的联网视频监控技术为例,指出系统将物理空间视听信息数据化后导入虚拟网络,实现了对实体空间的远程监控。与此相近,网络“打卡”实践中,个人通过将实体空间的图像和声音数字化,置入并激活虚拟空间的交往。信息技术发展令越来越多物理空间元素被置入并实时改变虚拟空间的资源流动和交往适配。被置入的元素通过“铆定”虚拟与物理空间的变化来产生效果。譬如在“孪生城市”智能系统发展中,更多元更大量的物理空间元素(温度、交通、人流、应急、车位、垃圾、污水处理和历史档案等)被置入并触发虚拟空间实时的优化调整,催生出可编程智能城市的新现实。位置媒介的用户借助GPS、手机和移动网络等位置敏感功能(location-awareness tools),在虚拟空间导入物理空间的位置信息。包括Grab,Tinder或国内的滴滴、美团、大众点评等平台,都会根据被置入虚拟的实体位置信息,自动调整虚拟空间中商业服务和社会交往资源的分配。由位置媒介驱动虚实转化的应用包括了Foursquare、Dodgeball、Loopt、Brightkite和Yelp等。数字全息摄影和Creator等3D图像编辑系统的新近发展,恢复了物理空间元素被导入虚拟空间时一度消失的背后朝向。越来越多立体的物理空间元素被直接放置到同样三维立体的虚拟空间中。
而据称将人类文明带入“空间计算”时代的Vision Pro技术,更无缝融通了“双向元素置入”和“全息多孔折叠”两种虚实交转模态。苹果公司新闻稿称“(用户对虚拟世界的)操控和观看将不再受大小屏幕的限制”。突破限制带来三方面变化。一则,原本包裹用户身体运动和感官的物理空间成了可随时“置入”虚拟空间元素的开放领域。虚拟空间感知、软件应用程序和各类线上社交皆可在公共或私人、平面或立体的物理空间中随时随地被召唤。除贴合物理平面的二维形式,虚拟元素还可用立体形式经技术中介由用户随意置入实体空间。Vision Pro用户能直接将数字商城的货物用手势“拖放”到物理空间,来比对尺码大小。实体空间甚至可任意置入“转换门”帮助用户从物理空间的感官“折叠”瞬间跳转到完全被三维虚拟空间“折叠”的状态。二来,虚拟空间对感官的折叠更彻底且多孔。彻底和多孔互为条件。用户体验虚拟空间时,数字系统会屏蔽多数物理空间的感知,创造更强烈的聚焦和沉浸感。在虚拟空间更彻底的“折叠”中,数字系统还能按连续的比例自动“置入”物理空间的元素。例如,当用户沉浸在Vision Pro的虚拟空间时,其Eyesight功能一旦感应到物理空间有人靠近,就会实时按设定比例在虚拟折叠中自动“置入”物理空间元素,支持物理与虚拟空间同时在场的社会交往和个人行动。第三,物理与虚拟空间的耦合联动更加紧密。Vision Pro产品说明中描述“用户可据视线选择,使用不同手势实现(在虚拟空间中)滑动、选择、切换等操作动作,并用语音通过Siri控制各种设备”。就像盘古曾依靠口舌鼓动和双手挥舞来转换虚实,新技术的使用者在物理空间视角体态的细微变化,手势比划、身体动作、嗓音交互再次成了虚实转换过程中关键的“锚点”。物理空间中头戴设备的重量,手势要求的动作幅度和难度,物理空间既有的声景,动作神态在物理空间是否妥当,乃至公共空间各类移动性的分布都会切实影响用户体验虚拟空间的形态和内容,参与设定用户在混杂现实的行动和沟通可能。
四、理论提炼:框架理论的脉络
本文分两个步骤对上文分析作理论抽象。第一步从媒介空间化运作切入,提炼框架理论的发展脉络。第二步推出“路径框架”的概念,推论和方法创新。本节先行的理论提炼着重以媒介为线索,重新串联起现有框架研究中原本看似离散的概念与方法,旨在为提出新的框架概念开辟一条清晰的分析路径。
在前数字时代的表征范式下,按虚实空间转换是否涉及“压平”或是否双向对称,分四类空间状况(见表1)。不同状况对应不同的框架概念和分析方法。虚实同为立体,多感官卷入且双向对称的虚实转换多发生在原初“天空之镜”破碎,大型机构和大众媒体尚未主导,“小国寡民”般的“旧日好时光”。在本地具体政治、经济、技术条件中,人与人反复发生的言语沟通,身体运动和交往实践构成场景意义生产的关键。戈夫曼拟剧论框架代表了研究者身处城市场景之中,以中立疏离视角观察该类场景意义的姿态。虚实皆是立体,多感官介入,且由虚向实单向占主导的虚实交转出现在大型政治、宗教、政治或商业机构营建“阈限”空间(教堂、纪念碑、拱廊街、纪念馆等)创造虚实交转的情形。类似空间通常远超个人身体感知尺度,带来仪式性超验体验。建构“阈值空间框架”要求体验场景的整体意义。研究者感受建筑元素(色彩、质地、高度、气候等),空间语法、集体情感、感官体验或公共记忆共同带来的总体意义。单向压平是大众媒介虚实转换的主形态。三维物理空间大量意象和丰富的身体感受被“压平”到大小屏幕或纸面。视觉成了虚实转换的通衢,循Entmann、Iyengar和Gamson等在20世纪90年代对报纸和广电的框架研究,系统客观地抓取二维平面文本图像在流动中的显著度结构并为其命名,成为获取场景意义,捕捉共通“框架”的关键。双向对称但牵涉压平的虚实转换发生在传统互联网环境。互联网时代的大小屏幕仍是虚实转换的主界面。去中心化网络结构让个人可能将物理空间感受随时随地转换导入二维屏幕。大小屏幕上实时更新,互联共振的文字影像将大量个人的意义架构打通。这类框架分析结合拟剧论方法和显著度结构分析。分析者置身事外地分析二维文本或图像呈现出的显著度结构如何与用户间实时的语言实践“表演”勾连,并从中抓取意义。
表1 虚实空间交转的形态与框架类型

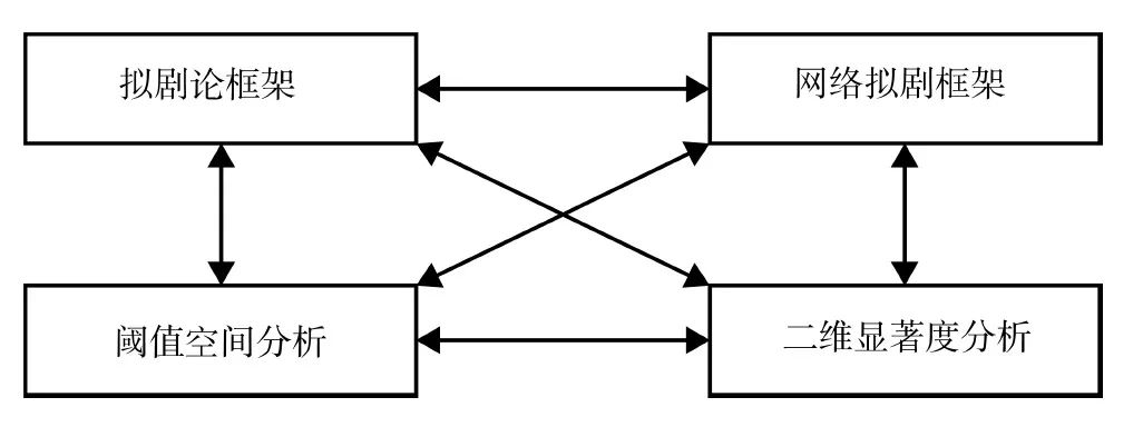
数字时代,移动数字媒介生成的混杂空间中虚实共同在场,地位平等,紧密耦合。传统的拟剧论框架,阈值空间框架,互联网拟剧论分析和显著度结构框架仍作为对物理空间的意义表征存在。但意义表征自身也获得了与物理空间元素对等的独立地位。虚拟不再限于平面,也不再“低人一等”。媒介更新中,旧的媒介过程和结果总会成为新媒介运行所需的内容资源,被纳入再媒介化的过程。故此,置入与折叠间智能连续的虚实交转,不但超越而且吸纳了传统“表征”范式的各种意义建构模式。后者的四类成为数字系统运行中按不同比例被折叠与置入的内容。原有意义架构类型被平等地纳入数字媒介系统“置入”和“折叠”无缝连续的渗透切换过程(见图1)。

图1 路径框架意义架构的模态变化
具体而言,线上线下的拟剧论框架与阈值空间框架,能按互渗比例发生从折叠到置入的各类交转,创造大量新的混杂空间变体。虚拟空间获得三维后,拟剧论场景和阈值空间框架都能出现在虚实两类空间中。两者任一都能用“折叠”方式,用虚拟或物理形态完全包裹用户主要感官,形成虚实替代或过滤的关系。数字系统还能设置阈值空间框架(或拟剧论框架)按比例“置入”由拟剧论框架(或阈值空间框架)“折叠”的现实。譬如,用户感官可深度沉浸在数字空间立体或二维头像聊天所形成的“舞台”中,遵循线上聊天规范和象征积淀,按拟剧论方式生产场景定义和沟通秩序。此时,物理空间召唤整体意义的阈值空间体验可与虚拟空间“拟剧论框架”同时在场,渗透咬合。网红景点线上直播中,主播一边感受物理建筑或自然风光召唤的整体意义,同时与直播室观众交谈的状况;或公共艺术项目中实时更新的数字对话框在城市公共空间的投影展示都是典型例子。
与此类似,纸面或屏幕的显著度结构常作为虚拟框架表征物理空间的意义。城市公共空间的立体屏幕、数字灯光投影、3D打印和虚仿技术令文本图像“升维”恢复了三维的空间性。数字化文本图像的显著度结构既有平面也有立体,既出现在物理空间中,也在虚拟空间随处可见。于是文本图像的显著度结构框架与拟剧论框架或阈限空间框架也都能实现复杂的“拼装”,发生从“折叠”到“置入”所有的交接转换。例如,商业应用中利用3D屏幕或全息投影技术,可将立体的广告动图和文字按特定显著度结构,直接“放置”到商场街道等物理建筑的阈限空间中。按构成比例不同,虚实间会出现从覆盖替代到原样并置的各种连续变化。个人对虚实空间中两类场景本身的熟悉程度;虚实空间意义内容的语义关系(增强、分离或冲突竞争等);乃至个人对虚实间按特定比例折叠置入的接受程度共同设定了个人在混杂空间获得意义和开展行为的可能。
最后,拟剧论框架、阈值空间框架和显著度结构三种框架类型自身,也能一实一虚搭配构成交转。比如,游戏玩家在三维虚仿的数字空间中能获得指向游戏叙事中某种总体意义的阈值空间体验。但用户肉身也能同时处于与游戏三维空间或呼应或冲突,召唤另一类整体秩序和意义的物理空间中。虚实不同的三维阈值空间彼此间从置入到完全折叠替代,随时调整变化,创造大量的新可能。同理,数字化拟剧论架构也可按系统设定比例,部分或全部导入同时在物理空间发生的人际交往“表演”中。循戈夫曼说法,两场并行的交往“戏码”完全可按照参与者实际的路径选择,构成分中有合、合中有分、交相应和的复杂关联。虚实混杂关联路径所产生的张力,创造出数字城市特有的场景意义。
五、路径框架:概念与方法创新
最后本文提出“路径框架”概念,将数字媒介驱动不同场景在虚实间反复折叠置入的关联路径视为空间意义建构的元传播结构。路径框架草蛇灰线地显现在媒介驱动虚实转换的动态中。与传统框架主要来自特定文化的象征积淀不同,路径框架植根于数字原住民与数字媒介系统沟通合作,在混杂空间开辟路径,重新设定行为认知方向等文化技艺的累积。笔者围绕“路径框架”的概念提出如下几方面推论。
首先,“路径框架”发生在九类不同虚实交转路径选项的总体范畴内。虚拟空间元素的立体升维使阈值空间、显著度结构和拟剧论框架三类意义建构过程都能在三维或二维,虚拟或物理空间发生。三类意义建构模式彼此能顺畅地从“折叠”到“置入”按虚实所占比例不同发生连续无缝的转换。不同的意义生产模态间多孔互渗,产生复杂的重新“拼装”。三类不同的意义建构模式以虚实区分,二二相关,形成矩阵。三乘三的路径矩阵共拼装出九类不同的交接形态。九类虚实交接转换的方式中反复发生的路径选择,构成数字城市定义混杂空间场景的基础,为三类异质场景间更加复杂的“行走”提供了意义生产的基础原型。
其次,虚实交接中置入和折叠在比例设置上的差异,创造出丰富有趣的现实变化。包括Vision Pro等智能媒介技术已经能根据系统用户数据和环境数据的流入,自动优化,实时调整虚实交转过程中各种空间元素的构成比例。虚实空间的意义架构形式分别包括哪些?选择哪些身体感官折叠进入物理或虚拟空间?将什么感官以多大比例和强度置入已构成感官折叠的空间中?改变虚实构成参数的操作既可“托管”给媒介系统的自动算法,也可按人工模式手动调整,更可将手动和算法模式无缝结合。虚实交转比例变化中反复出现的社会技术规则,虚实空间意义框架的内容,共同形成了“路径”框架的核心构成。传统框架理论将框架本身内容推崇的意义和秩序作为权力来源。数字媒介驱动虚实折叠和置入间比例的连续变化,有效改变了个人身处混杂空间的审美体验、意义生产和行为可能。设定虚实“拼装”元素的构成类型和互渗比例成了人工智能系统运作的主要功能,更构成数字时代建构空间意义和社会秩序新的权力来源。
“路径框架”概念还为人工智能参与空间意义生产创造有利条件。一方面,阈限空间框架和拟剧论框架确实依托人类身体感受和社会记忆传承,才能准确解读场景的文化意义。但显著度框架只牵涉对文字、图像或声音在传播过程中显著度强弱进行客观记录、统计和归纳。因此,显著度结构框架无论二维或三维,是虚拟还是物理空间的意义架构,都能被委托给人工智能循可计算的规律性知识进行搭建。在路径框架建构过程中,人工智能通过创造和改变显著度结构框架,能有效参与混杂空间场景意义的塑造。更重要的是虚实交转中折叠与置入的比例设置可完全或部分委托给人工智能算法。人工智能通过自动设定虚实空间双向置入和折叠的方式、节奏或比例,主动参与人们对现实的意义建构。人工智能没有严格意义上的人类身体,难以完全具备对文化语境的“类人敏感性”。他们也无法识别所有“微妙多变”的社会场景意义。但人工智能却可通过创造或辨识图像文字的显著度结构,设定虚实交转的比例参数,与人合作创造混杂空间的场景意义。场景意义在虚实交转中再生产,将人工智能等非人行动者的媒介化运作深度融入日常生活,构成让人着迷的“庸常欺骗”。
与概念界定相关,“路径框架”分析方法包含两个连续阶段。第一阶是“单一框架分析”。研究者利用框架研究现有理论资源和分析方法,对混杂空间中同时存在的显著度框架,阈限空间框架或拟剧论框架,就其含义和构成做清晰的阐明。分析过程应对不同框架所处虚实空间,次元维度和意义传播的双向对称程度给出明确的描绘。与传统的框架分析方法不同,第一阶段分析中还需对既有框架类型做非表征的关系性审视。框架分析过程要从现有的框架动态理论出发,留意单一框架自身与其他架构间可能发生的动态关系和共处方式。尤其留意虚实空间中既有框架之间潜在的桥节点、冲突点、留白区及能置入其他空间元素的“渗入”裂缝。关系潜能分析意在为下一阶段对虚实交转的路径分析做好准备。第二阶是“路径分析”。分析采用技术界面漫游(walk-through method),结合算法分析和其他用户行为分析方法,聚焦探讨第一阶分析中发现的单一框架如何在具体的虚实交转中,按不同比例,循不同路径发生反复关联,彼此转换。路径分析方法的重点包括:结合对数字媒介系统智能运行和用户实践的分析,揭示虚实转换中媒介系统规则和行为惯例如何共同发挥作用;厘清虚实交转中置入和折叠比例的变化对于现实场景意义建构的影响;揭示“拼装”混杂现实作为新的权力生产方式与原有权力结构间形成的复杂关系;积极探索并努力实现虚实交转,场景重置,人与人工智能共创混杂空间意义的过程中,数字技术运行中蕴含的沟通潜能。
数字媒介加速更新,虚实交转不断转型,文明样态亦随之改观。人类身体,各色物件,甚至图像和象征符号如今都可以顺畅地击穿虚实间原有的区隔。媒介催生新的虚实关系,带来短暂而激进的技术“眩晕”。人类亟需重新为空间意义和在地行为创造新的理解“框架”,重新获得在数字化虚实交转中开辟路径,创造意义的“导航”技能。从媒介入手探索“路径框架”概念和方法创新,凸显出虚实空间错落多孔,疏密渐变的动态勾连,进而为创造有趣的都市生活,更为实现智能技术蕴含的空间沟通潜能开辟更多可能。
〔本文为教育部人文社会科学基地重大项目“数字城市沟通力研究:中国城市群发展现状考察”(22JJD860003)的阶段性成果并获复旦大学新闻学院科研创新项目支持〕
[引用格式]潘霁。路径框架:媒介空间杂糅与场景意义的重置,学术月刊,2025年第1期。
来源 | 《学术月刊》2025年第1期
作者 | 潘霁
原文链接 | https://mp.weixin.qq.com/s/BrOYe0_8gjIP6srT1gbI3Q